Is A 9 On Act Writing Good
What Is a Good ACT Score?
Meet the ACT — another standardized test score that helps colleges assess your application and evaluate your knowledge and skills learned in high school.
You might be curious about what a good ACT score looks like. Is 30 on the ACT good? Or is 25 on the ACT good?
In this article, we'll show you an ACT score chart and ACT percentile chart. We'll also discuss what the ACT percentiles mean to help you set a goal for achieving a decent ACT score.
National averages for ACT scores range between 20–23 among all test takers. Obviously, scoring above the average score gives you a better chance at admission into top universities.
But is a barely above-average score enough? Or do you need a higher score to have a chance at getting accepted into the best colleges in the country?
We'll also explore the average ACT scores for a wide range of colleges and universities to help you find out where you stand.
Read More: What is the Highest ACT Score You Can Get?
What is the ACT?
ACT stands for American College Testing, which is a standardized test that calculates a student's ability, talents, and knowledge by considering five subject areas: English, math, science, reading, and writing. The writing section, which is an essay, is optional.
Colleges consider ACT scores when evaluating students' college admission applications.
This ACT test comprises four multiple-choice sections in the above-mentioned subject areas, minus the essay writing section. The total time allotted for the entire test is 2 hours and 55 minutes.
The essay writing section is optional; the candidate may or may not take this section.
However, if a student does write the essay portion of the test, they'll receive an extra 40 minutes of time to complete the ACT. Thus, the new total would be 3 hours and 35 minutes.
After you take the test, you have to wait up to two weeks to receive your results in an official ACT score report.
Learn more about how long the ACT takes.
Despite the stress that comes with preparing for an exam, one aspect of the ACT should bring you relief. You won't receive any negative marks on the ACT for incorrect answers. So, you have nothing to lose by at least attempting to answer the questions you aren't sure about.
The ACT format
The table below displays the ACT breakdown of each section and their corresponding time limits and content coverage.
| Section | Time Limit Per Section | Content Covered |
| English | 45 minutes for 75 questions. | Grammar, spelling, sentence structure, organization, and style |
| Math | 60 minutes for 60 questions. | Pre-algebra, elementary algebra, intermediate algebra, trigonometry, geometry |
| Science | 35 minutes for 40 questions. | Problem-solving, interpretation and analysis, evaluation, and reasoning. |
| Reading | 35 minutes for 40 questions | Reading and comprehension |
| Writing(optional) | 40 minutes for 1 essay. | Writing skills |
How is the ACT scored?
After reviewing the ACT format, you might be wondering how the ACT is scored.
Understanding how the ACT is scored gives you a strong advantage in the ability to set clear goals. This will help you in your preparation for the exam, and it will help you make the most of any mock tests that you take.
Your raw scores for each section are simply the sum of correct answers in each section. Your scaled score takes those raw scores and scales them down into a number between 1–36.
Then, the average of each scaled section score creates your composite score, which also ranges between 1–36.
For example, if a student scores 25 in English, 24 in math, 26 in science, and 25 in reading, their composite is the sum of their scaled section scores (100), divided by four to find the average. Thus, in this example, the composite score is 25.
Standardized tests like the ACT, SAT, GMAT, and more use scaled scores to ensure that their scores are consistent throughout multiple test dates.
ACT section raw scores
The English section comprises three subsections:
- Production of Writing (POW)
- Knowledge of Language (LKA)
- Conventions of Standard English
Each subsection is worth 23, 12, and 40 raw points, respectively.
The math section comprises two categories:
- Preparing for Higher Math (PHM)
- Integrating Essential Skills (IES)
- Modeling (MDL)
PHM and IES are worth 35 and 25 raw score points, respectively. MDL isn't scored with raw points.
The reading section comprises three categories:
- Key Ideas and Details(KID)
- Craft and Structure (CS)
- Integration of Knowledge and Ideas (IKI)
KID, CS, and IKI are worth 25, 11, and 4 raw points, respectively.
Finally, the science section comprises three categories:
- Interpretation of Data (IOD)
- Scientific Investigation(SIN)
- Evaluation of Models, Interferences & Experimental Results (EMI)
IOD, SIN, and EMI are worth 18, 12, and 10 raw points, respectively.
The ACT score chart below displays subsection raw scores and their corresponding scaled scores.
Source: act.org/ACT test guide.
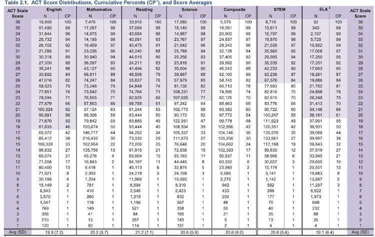
ACT score percentiles (2020-2021)
ACT percentiles compare your score to the scores of other students who took the test. Specifically, percentiles show you how many people scored higher or lower than you.
Percentile sounds eerily similar to percent — but don't let that confuse you.
Scoring in the 50th percentile isn't the same as scoring 50% on the exam. If you scored in the 50th percentile, it means you scored equal to or higher than 50% of the students that took that same test.
The ACT percentiles chart below shows subject area test scores and composite scores, as well as their corresponding score percentiles. For example, the national rank (percentile) for a score of 22 is 64. If you scored a 22 on the ACT, you scored equal to or better than 64% of the people who took the test.
| National Norms for ACT Test Scores Reported During the 2020-2021 Reporting Year | |||||||
| Score | English | Math | Reading | Science | Composite | STEM | Score |
| 36 | 100 | 100 | 100 | 100 | 100 | 100 | 36 |
| 35 | 99 | 99 | 98 | 99 | 99 | 99 | 35 |
| 34 | 96 | 99 | 96 | 98 | 99 | 99 | 34 |
| 33 | 94 | 98 | 94 | 97 | 98 | 98 | 33 |
| 32 | 92 | 97 | 91 | 96 | 96 | 97 | 32 |
| 31 | 91 | 96 | 89 | 95 | 95 | 96 | 31 |
| 30 | 89 | 94 | 86 | 93 | 93 | 94 | 30 |
| 29 | 88 | 93 | 84 | 92 | 90 | 92 | 29 |
| 28 | 86 | 91 | 82 | 90 | 88 | 90 | 28 |
| 27 | 84 | 88 | 80 | 88 | 85 | 87 | 27 |
| 26 | 82 | 84 | 77 | 85 | 82 | 84 | 26 |
| 25 | 79 | 79 | 74 | 82 | 78 | 80 | 25 |
| 24 | 75 | 74 | 71 | 77 | 74 | 75 | 24 |
| 23 | 71 | 70 | 66 | 71 | 70 | 70 | 23 |
| 22 | 65 | 65 | 61 | 64 | 64 | 65 | 22 |
| 21 | 60 | 61 | 55 | 58 | 59 | 60 | 21 |
| 20 | 55 | 58 | 50 | 51 | 53 | 54 | 20 |
| 19 | 49 | 54 | 44 | 45 | 47 | 48 | 19 |
| 18 | 45 | 49 | 39 | 39 | 41 | 41 | 18 |
| 17 | 41 | 42 | 34 | 32 | 35 | 33 | 17 |
| 16 | 37 | 33 | 29 | 26 | 28 | 26 | 16 |
| 15 | 32 | 21 | 24 | 19 | 22 | 18 | 15 |
| 14 | 25 | 11 | 19 | 14 | 16 | 11 | 14 |
| 13 | 19 | 4 | 14 | 10 | 10 | 5 | 13 |
| 12 | 15 | 1 | 10 | 7 | 5 | 2 | 12 |
| 11 | 11 | 1 | 5 | 4 | 2 | 1 | 11 |
| 10 | 7 | 1 | 3 | 3 | 1 | 1 | 10 |
| 9 | 3 | 1 | 1 | 1 | 1 | 1 | 9 |
| 8 | 2 | 1 | 1 | 1 | 1 | 1 | 8 |
| 7 | 1 | 1 | 1 | 1 | 1 | 1 | 7 |
| 6 | 1 | 1 | 1 | 1 | 1 | 1 | 6 |
| 5 | 1 | 1 | 1 | 1 | 1 | 1 | 5 |
| 4 | 1 | 1 | 1 | 1 | 1 | 1 | 4 |
| 3 | 1 | 1 | 1 | 1 | 1 | 1 | 3 |
| 2 | 1 | 1 | 1 | 1 | 1 | 1 | 2 |
| 1 | 1 | 1 | 1 | 1 | 1 | 1 | 1 |
| Mean | 20.1 | 20.4 | 21.2 | 20.6 | 20.7 | 20.7 | |
| SD: | 7.1 | 5.6 | 6.9 | 5.8 | 5.9 | 5.5 |
Source: ACT norms
What is a good ACT score?
A good ACT score can vary depending on the college you choose. Here is a comprehensive analysis of good ACT scores for the 2020-2021 academic year.
| ACT score | Category of the test-takers |
| 35 and above (Best) | Top 1% |
| 31 and above (Excellent) | Top 5% |
| 29 and above | Top 10% |
| 24 and above (good) | Top 25% |
| 21 and above (average) | Middle section |
| 16 and below (Poor) | Bottom 25% |
Is 25 a good ACT score?
Getting a 25 on your ACT score can be both good and bad, depending on which college or university you want to go to.
For example, in some of the most prestigious universities in the U.S., like Stanford, the lower 25th percentile has an average ACT score of 33 or higher.
If attending Stanford is your goal, then 25 isn't a good score at all. A special athletic scholarship or another special program may be your key to acceptance with that score.
But if you're aiming to attend a good local university, 25 could be more than enough. For example, the 75th percentile score for San Francisco State University applicants in 2020 was 24. That means that an ACT score of 25 would make you a competitive applicant.
What a good score is to you depends on where you want to go and what you want to study.
What is the average ACT score?
The average act score among U.S. undergraduate applicants in 2020 was 20.8, according to the 2020 release of the ACT Research Publication.
This score is virtually identical to the median, which is 21. So if your score is above 21, that means your ACT score is above average.
But that doesn't automatically guarantee that you'll get into a great college. Some colleges require high scores within specific subjects in the ACT score itself.
For example, they might require a high ACT writing score from prospective students.
What is a good ACT writing score?
If you want to get into a top college, you'll likely need a score of eight or higher on the writing section of the ACT.
The ACT writing section is an optional part of the test, and it does not count toward your composite score.
However, many of the top colleges use it separately to estimate the writing skill of an applicant.
What Is a Good ACT Writing Score?
If you want to get into a top college, you'll likely need a score of 8 or higher on the writing section of the ACT.
| Percentile | Score |
| 100 (Best) | 12 |
| 99 (Outstanding) | 11 |
| 99 | 10 |
| 96 (Excellent) | 9 |
| 90 (Good) | 8 |
| 66 | 7 |
| 50 (Average) | 6 |
| 27 (Poor) | 5 |
| 14 (bottom 14%) | 4 |
| 5 (bottom 5%) | 3 |
| 2 (bottom 2%) | 2 |
Number of Attempts Allowed for the ACT
Did you totally bomb the ACT on your first attempt? That's OK — you're not the only one. Luckily, you can take the ACT test a maximum of 12 times, without any time or test date limitations.
The ACT is administered about seven times a year during the months of September, October, December, February, April, June, and July.
While you're permitted 12 attempts on the ACT, we don't recommend you use that fact to take the ACT test lightly. The ACT test fee is $60.00 without the writing section, and $85.00 with the writing section. Even if you choose the option without the writing section, writing the ACT 12 times will cost you $720. We don't recommend wasting time and money on so many tests.
You can use your first ACT test attempt as a trial, so you can get a feel for the types of questions on the test, and the amount of time you need to get through them. Then, if you take the ACT a second time, you might manage your time more efficiently than you did during your first attempt.
How to Score High on the ACT?
The maximum score that you can achieve on the ACT is 36. If perfection is your goal, you're ambitious. Only 2% of students score above 33. And, each year, only a few thousand students out of millions achieve top scores. But, dream big! With dedicated, hard work, practice, and planning, you too can score the highest marks.
The ACT score and percentiles chart below displays the number of students achieving each respective ACT score in 2020.
Source: ACT.org
Tips to Help You Score Well on the ACT
1. Aim for the Stars
If you're a teenager and this is your first time taking the ACT test, aim high. Try to score at least at the 50th percentile, which is equal to or better than what all other test-takers scored.
2. Practice Makes Perfect
Before starting your ACT prep, work on your weaknesses. If math isn't your strong suit, spend extra time working on practice math subsections of the ACT. The same goes if writing isn't your strong suit, and so on. Tackling your mistakes head on will help you learn from them.
3. Get on Top of Your Grammar
English might be your first language, but don't let that encourage you to take this section lightly.Don't go easy on English, thinking that it is the easiest part, sometimes grammar can do the trick of lowering your scores, revise the grammar portions, be clear with the punctuations, and practice reading more and more.
4. Adopt an Answering Strategy
Use a test strategy for optimal success on the ACT. You can try one or more of these strategies:
- Go through the ACT slowly and thoroughly, answering questions one after the other.
- Go through the ACT quickly, answering the questions you're certain about first, skipping over questions you're unsure about, and coming back to those questions later.
- Use the process of elimination by removing the most unsuitable answers first
Remember — you can't get any negative marks for wrong answers. Attempt every question (with thought), as you have nothing to lose.
5. Have a Game Plan
Take mock-up ACT tests before your official ACT test. Practice and come up with a strategy before you take the official test. Plan your study, and study your plan.
6. Seek Professional Help
Thousands of students take the ACT every year. Many mentoring and tutoring services exist specifically for the ACT test. Consider signing up for one of these services if you feel unprepared for the exam.
To learn more about the ACT test preparation visit: ACT test prep guide.
ACT Scores (2020-2021) for Colleges and Universities
Different universities have different expectations for ACT scores on student college applications. If you know which colleges and universities you are applying to, you can use their required or expected ACT test scores to help you plan your study.
For example, if you're aiming for a score of 28, you'll be in good shape to apply to Arizona State University. However, a score of 28 won't be all too impressive to the admissions team at Yale University. For Yale, you might need a score of 32 or higher.
Here is the list of colleges and universities based on ACT scores and the acceptance rate for those schools.
Universities accepting ACT scores above 30
These are the cream of the crop among American universities and colleges, and they expect the same from their applicants.
You need a score above 30 to even get into the lowest percentile of successful enrollees at the universities in the table below.
| Rank | College Name | ACT 25th Percentile | ACT 75th Percentile | Acceptance Rate |
| 1 | Stanford University | 31 | 35 | 5 |
| 2 | University of Southern California | 30 | 33 | 17 |
| 3 | Harvard University | 32 | 35 | 5 |
| 4 | Northeastern University | 31 | 34 | 29 |
| 5 | University of Pennsylvania | 32 | 35 | 9 |
| 6 | Cornell University | 31 | 34 | 14 |
| 7 | Massachusetts Institute of Technology | 33 | 35 | 8 |
| 8 | Rice University | 32 | 35 | 15 |
| 9 | Columbia University | 32 | 35 | 7 |
| 10 | Duke University | 31 | 34 | 11 |
| 11 | Brown University | 31 | 34 | 9 |
| 12 | University of California-Berkeley | 31 | 34 | 17 |
| 13 | Yale University | 32 | 35 | 6 |
| 14 | Boston College | 30 | 33 | 31 |
| 15 | Washington University in St.Louis | 32 | 34 | 17 |
You need a truly top-level ACT or SAT score to get into one of these universities. Depending on your current ACT score, you could set a new goal and aim to retake the test to improve your score.
In many cases, to have a high chance of successful enrollment, you need a near-perfect score.
While these universities are prestigious, you can still get a great education and have a successful professional future by attending other colleges.
Universities accepting ACT scores between 25-29
These universities have a slightly lower required score range, but they are still high above the average ACT score of 20.8.
| Rank | College Name | Act 25th Percentile | ACT 75th Percentile | Acceptance Rate |
| 1 | New York University | 29 | 33 | 32 |
| 2 | University of California-Los Angeles | 28 | 33 | 18 |
| 3 | University of Michigan-Ann Arbour | 29 | 33 | 29 |
| 4 | University of Texas-Austin | 26 | 32 | 40 |
| 5 | Penn State | 25 | 29 | 56 |
| 6 | Boston University | 28 | 32 | 29 |
| 7 | University of Florida | 27 | 31 | 46 |
| 8 | The University of North Carolina at Chapel Hill | 28 | 33 | 27 |
| 9 | University of Virginia | 29 | 33 | 30 |
| 10 | University of Georgia | 26 | 31 | 54 |
| 11 | Tulane University | 29 | 32 | 26 |
| 12 | Purdue University | 25 | 31 | 56 |
| 13 | University of Washington | 26 | 32 | 45 |
| 14 | Syracuse University | 25 | 29 | 52 |
| 15 | University of Miami | 28 | 32 | 38 |
Universities accepting ACT score between 20-24
These 15 reputable universities have a lower ACT score requirement, with the 25th percentile of some being around average or as low as 20.
| Rank | College Name | ACT 25th Percentile | ACT 75th Percentile | Acceptance Rate |
| 1 | Texas A&M University | 24 | 30 | 67 |
| 2 | James Madison University | 22 | 27 | 72 |
| 3 | Temple University | 22 | 28 | 52 |
| 4 | Michigan State University | 24 | 29 | 66 |
| 5 | San Diego State University | 23 | 28 | 35 |
| 6 | University of California-Irvine | 24 | 30 | 41 |
| 7 | Arizona State University | 22 | 29 | 70 |
| 8 | University of Delaware | 22 | 29 | 70 |
| 9 | California State University-Long Beach | 20 | 26 | 32 |
| 10 | Indiana University-Bloomington | 24 | 30 | 79 |
| 11 | University of San Francisco | 23 | 28 | 71 |
| 12 | The University of Alabama | 23 | 31 | 53 |
| 13 | High Point University | 21 | 26 | 79 |
| 14 | University of Central Florida | 24 | 28 | 50 |
| 15 | Liberty University | 21 | 28 | 24 |
Universities accepting ACT score between 16-19
Below you can find colleges that accept applicants with scores ranging between 16–19.
| Rank | College Name | ACT 25th Percentile | ACT 75th Percentile | Acceptance Rate |
| 1 | San Francisco State University | 18 | 24 | 68 |
| 2 | California State University-Fullerton | 19 | 24 | 48 |
| 3 | California State University-Chico | 19 | 24 | 65 |
| 4 | North Carolina A&T State University | 18 | 23 | 48 |
| 5 | California State University-Northridge | 16 | 23 | 48 |
| 6 | Old Dominion | 18 | 25 | 85 |
| 7 | California Baptist University | 19 | 24 | 64 |
| 8 | Florida A&M University | 19 | 24 | 31 |
| 9 | Stockton University | 19 | 24 | 77 |
| 10 | California State University-Sacramento | 17 | 22 | 72 |
| 11 | Bloomsburg University of Pennsylvania | 18 | 23 | 78 |
| 12 | Western Michigan University | 19 | 25 | 82 |
| 13 | La Salle University | 19 | 25 | 77 |
| 14 | Portland State University | 19 | 25 | 89 |
| 15 | Clark Atlanta University | 18 | 21 | 72 |
Universities accepting ACT score below 16
Finally, here are a few colleges where an ACT score below 16 can still help you get accepted.
| Rank | College Name | ACT 25th Percentile | ACT 75th Percentile | Acceptance Rate |
| 1 | California State University-Los Angeles | 15 | 20 | 64 |
| 2 | Prairie View A&M University | 15 | 19 | 85 |
| 3 | Virginia State University | 15 | 19 | 94 |
| 4 | California State University-Dominguez Hills | 15 | 19 | 48 |
| 5 | Texas Southern University | 15 | 19 | 51 |
| 6 | Bowie State University | 15 | 19 | 41 |
| 7 | Alabama State University | 15 | 19 | 46 |
| 8 | Bethune-Cookman University | 15 | 18 | 64 |
| 9 | New Jersey City University | 15 | 17 | 85 |
| 10 | Dean College | 15 | 17 | 85 |
| 11 | Lincoln University of Pennsylvania | 15 | 19 | 87 |
| 12 | Coppin State University | 15 | 18 | 40 |
| 13 | South Carolina State University | 14 | 17 | 86 |
| 14 | Fort Valley State University | 10 | 19 | 26 |
| 15 | Central State University | 15 | 18 | 42 |
Being able to retake the test for certain subjects and sections takes pressure off — you don't need to repeat your great performance in your best sections.
What this means for you is that it's easier than ever to improve your score by taking the ACT another time if you get a result you're unhappy with.
Even if your dream college has a required score that is a lot higher than your current one, you can work at it, one subject at a time.
So if you don't get a score you're happy with on your first try, don't give up.
Takeaway
There isn't a universal, good ACT score for every university. A good ACT score for one university might not be a sufficient score for another university.
If you score over a 22, that's generally a decent score, but don't set that as your goal. Practice well in advance, enlist the support of a coaching service, and study, study, study!
And with the new guidelines, don't be afraid of taking the test more than once. With the new ACT superscoring and individual section retesting, it's easier than ever to build up a better ACT score for your application.
Visit The College Monk to learn more about the college acceptance process.
Is A 9 On Act Writing Good
Source: https://www.thecollegemonk.com/blog/what-is-a-good-act-score
Posted by: fenstersteptach1964.blogspot.com

0 Response to "Is A 9 On Act Writing Good"
Post a Comment